摘 要: 介紹了不同差壓變送器的工作原理,并結合實際,對玻璃生產線當中所應用的不同差壓變送器進行了對比和探討。
在現代化的工業生產中,檢測元件充當著“眼睛”的角色,觀察整條生產流程中的壓力、流量、溫度、液位等重要數據,然后才能通過“大腦”( DCS或PLC )中的邏輯算法(PID ),進而用“手”(調節器)進行調節,最終完成對生產的各項目標數值的控制。由此可見,一雙好的“眼睛”是一個良好控制回路的前提。壓力(差壓)變送器正是這樣一種因其高精度和穩定性能而被廣泛應用的檢測工具。
1 分 類
壓力(差壓)變送器的作用,簡單來說就是通過彈性測壓元件的位移或受力變為標準電信號。按組成方式及工作原理可分為力平衡式變送器和位移式變送器兩類。而在玻璃生產線中,我們基本均使用位移式變送器。其中按照測量精度和對象又可分為
微差壓變送器、差壓變送器和壓力變送器三類。若按照信號傳輸和供電模式又可分為兩線制變送器和四線制變送器兩種。
2 原 理
2.1 力平衡式壓力(差壓)變送器
雖然力平衡式變送器在玻璃生產線中并不多見,但為了比較它與位移式變送器之間的優劣,仍值得研究討論。其工作原理如圖1所示。被測壓力 P 經波紋管轉換為力 F i 作用于杠桿左端 A 點,使杠桿繞支點 O作逆時針旋轉,稍一偏轉,位于杠桿右端的位移檢測元件便有感覺,使電子放大器產生一定的輸出電流Io,此電流流過反饋線圈和變送器的負載,并與永久磁鐵作用產生一定的電磁力,使杠桿 B點受到反饋力 F f ,形成一個使杠桿作順時針轉動的反力矩。由于位移檢測放大器極其靈敏,杠桿實際上只要產生極微小的位移,放大器便有足夠的輸出電流形成反力矩與作用力矩平衡。當杠桿處于平衡狀態時,輸出電流 I0 正比于被測壓力 P 。
這種閉環的力平衡結構的優點,首先在于當彈性材料的彈性模數溫度系數較大時,可以減小溫度的影響。因為這里的平衡狀態不是靠彈性元件的彈性反力來建立的,當位移檢測放大器非常靈敏時,杠桿的位移量很小,若整個彈性系統的剛度設計得很小,那么彈性反力在平衡狀態的建立中無足輕重,可以忽略不計。這樣,彈性元件的彈性力隨溫度的漂移就不會影響這類變送器的精度。此外,由于變換過程中位移量很小,彈性元件的受力面積能保持恒定,因而線性度也比較好。由于位移量小,還可減少彈性遲滯現象,減小儀表的變差。
為了說明上述道理,可畫出這種變送器的靜態結構如圖2所示。北側壓力 P 乘上波紋管的有效面積 S便得到作用于 A 點的 F i ,此力再乘上對支點 O 的距離 LOA即為作用力矩 M i = F i × l OA。
作用力矩 M i 與反饋力矩 M f 之差 ΔM 使杠桿繞 O 點旋轉,轉角 θ = Δm / τ 。這里 τ 是杠桿系統的扭轉剛度,它的大小表示要使杠桿產生單位轉角所需的力矩。當杠桿轉動時,位移檢測點C處就有位移 d = l OC × θ ,其中 l OC 為檢測點 C到支點 O 的距離。該位移被
檢測并轉換為電流輸出 I0 。圖中 K表示位移檢測放大器的傳遞系數。輸出電流 I0 流過反饋線圈,產生電磁反饋力 F f = f × I 0 ,其中f為電磁鐵的傳遞系數。此力乘力臂 l OB即為反饋力矩 M f 。
由圖2可寫出其閉環傳遞函數:

當開環增益很大,即 1τ ×l OC × K × f × l OB >>1時,上式可簡化為:

由此可知,這種變送器具有一切閉環系統的共同特點,即在開環增益足夠大時,其輸入量與輸出量間的關系只取決于輸入環節及反饋環節的傳遞函數,而與正向通道環節的傳遞函數無關。在圖2中,杠桿系統(包括彈性測量元件)的剛度 τ 和位移檢測放大器的傳遞系數 K 都處于正向通道內,只要開環增益足夠大,它們的變化不會影響輸出值 I0 。因此,彈性測量元件的彈性模數隨溫度的變化,不會影響儀表的精度 。
從上面的分析看到,在力平衡變送器中,只要測壓元件的有效面積 S 能保持恒定,磁鐵的磁場強度均勻穩定,力臂的長度 l OA 、 l OB 不變,便可得到較好的變換精度。
2.2 位移式差壓(壓力)變送器
最早的電信號壓力計都是開環的,先將彈性測壓元件的位移轉換為電感、電阻或電容的變化,再經一定的電路轉換后輸出。由于當時材料質量和工藝水平都不高,彈性元件的彈性模數隨溫度變化很大,因而平衡位置受溫度影響大,即輸出的溫度漂移較大。另外,早期的位移測量技術不高,測壓元件必須有足夠大的變形才能測量,因而使彈性元件的非線性和變差都比較大。
隨著科學技術的發展,材料彈性模數隨溫度變化的問題獲得了很大的改善,例如鎳鉻鈦鋼等材料的彈性
模數溫度系數小于0.2×10-4 ℃ -1 ,因而在環境溫度變化時,其彈性模數幾乎可認為不變。此外,電子檢測技術的發展,使微小位移的檢測成為可能,彈性元件只要有0.1mm 左右的位移便可精確地測量出來。由于變形小,非線性和彈性遲滯引起的變差都可以大大減小。而其結構的簡單,運行的可靠,維護的方便,都是位移式變送器相較于力平衡式的優點所在。
作為這種新的位移式變送器的例子,圖3示出了一個
電容式差壓變送器的基本結構。被測壓力 P 1 、 P 2 分別加于左右兩個隔離膜片上,通過硅油將壓力傳送到測量膜片。該測量膜片由彈性溫度穩定性好的平板金屬薄片制成,作為差動可變電容的活動電極,在兩邊壓力差的作用下,可左右位移約0.1mm 的距離。在測量膜片左右,有兩個用真空蒸發法在玻璃凹球面制成的金屬固定電極。當測量膜片向一邊鼓起時,它與兩個固定電極間的電容量一個增大,一個減小,通過引出線測量這兩個電容的變化便可知道差壓的數值 。
這種差壓傳感器的結構和力平衡式相比有一突出的優點,就是它不存在力平衡式變送器必須把杠桿穿出測壓室的問題。在力平衡式變送器中為使輸出杠桿既能密封又能轉動,使用了彈性密封膜片,這帶來一個棘手的問題———靜壓誤差。由于密封膜片在壓力作用下的變形,會使杠桿產生軸向位移,必須用吊帶把杠桿拉住,但它容易產生偏心。此外,杠桿在密封膜片上的安裝也很難完全同心,這樣,彈性密封膜片受力時,還會對杠桿造成附加的偏轉力。盡管兩個測量室的壓力差為零,即 P 1 - P 2 =0時,只要 P 1 、 P 2 的值不為零,杠桿上就會受到偏轉力,由這種附加力引起的誤差就稱為靜壓誤差。在力平衡式差壓變送器中,這是一個十分麻煩的問題。在圖3的電容式傳感器中,因為沒有輸出軸,所以靜壓誤差的問題比較容易解決,整個差壓變送器的精度也容易提高。
要了解電容式變送器的工作原理,就需要先分析下差動電容與壓力的變化關系,設測量膜片在差壓 P的作用下移動一個距離 Δd ,由于位移很小,可近似認為兩者作比例變化,即可寫成: Δd = K 1 P ,這里 K 1 為比例常數。
這樣,可動極板(測量膜片)與左右固定極板間的距離將由原來的 d 0 分別變為 d 0 + Δd 和 d 0 - Δd,借用平行板電容的公式,兩個電容 C 1 、 C 2 可分別寫成
式中, K 2 是由電容器極板面積和介質介電系數決定的常數。
聯立解上列關系式,可得出差壓 P 與差動電容 C 1 、 C 2 的關系如下
這里 K 3 = K 1 / d 0 也是一個常數。
由上式可知,電容式壓力變送器的任務其實就是將( C 2 - C 1 )對( C 2 + C 1 )的比式轉換為電壓或電流。
3 應 用
綜上所述,我們認識到位移式變送器在現今的測量領域,相對于力平衡式變送器而言更為市場所認可。在玻璃生產線的設計過程中也同樣如此。然而根據測量對象和精度的不同,變送器在選型上仍有區別。
1 )在熔窯中,我們使用精度最高的微差壓變送器檢測窯內壓力,這是關乎熔窯根本安全和測量對象之一,其結構如圖4所示,此處 P 1 的取壓管需深入熔窯壁內側,而 P 2 所取壓力為溫度接近熔窯處的大氣壓值,最終接入變送器的取壓管應為窯爐兩側取壓的平均值,最后同圖3位移式變送器的原理,通過 P 1 - P 2 得到熔窯內部的表壓值。
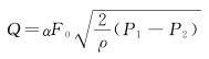
2 )對天然氣、氫氣、氧氣以及助燃風流量的測量,我們使用差壓變送器配合節流式孔板流量計來實現。如圖5所示在管道中插入一片中心開孔的圓 盤,當流體經過這一孔板時,流束截面縮小,造成了局部的流速差異,得到比較顯著的壓差。在一定的條件下,流體的流量與節流元件前后的壓差平方根成正比。其公式為:
式中, Q 是所測流量;
F 0 是孔板的開孔面積; α 為流量系數;ρ 為液體密度; P 1為孔板前壓力; P 2 為孔板后壓力。
在玻璃生產線中,差壓變送器除了在上述關鍵測量領域起到重要作用之外,仍有許多衍生的應用,比如測量玻璃液面的高度變化,測量液體的液位高度等等,此處不再多做贅述。
4 發 展
在檢測氣體流量時,由于氣體具有可壓縮性,因此比液體的測量更復雜。由上文可知,氣體的體積流量Q 是差壓( P 1 - P 2 )與密度 ρ 的函數,而密度又是該氣體當前溫度和壓力的函數,實際使用時,由于介質的當前密度與設計時的密度不同,會出現較大的測量誤差,因此要對其進行溫壓補償。過去,設計者會在氣體管道設置流量計的位置附近同時設置熱電阻和壓力變送器,并將三組信號均引入DCS系統,在計算機系統中通過公式完成補償計算。這種模式在現今也逐漸被取代。不少公司研發出了新一代的多參數
智能壓力變送器,這類變送器以微處理器為基礎,全面提升了變送器的精度、可靠性及長期穩定性指標。通過同時分別檢測溫度、壓力和差壓三個過程變量,按工業標準的計算方法直接得出第四個過程變量(質量流量或體積流量),并輸出對應的4~20mA 模擬信號和數字信號,減少了變送器的數量,方便了安裝,使其能滿足更為苛刻的使用環境,提高了可靠性和測量準確度。
5 結 語
時至今日,差壓變送器在工業領域的應用早已不再局限于測量壓力,該文所提到的對流量、液位的測量是將被測對象的變化先轉換為壓力差,再通過變送器完成測量,這些設計無一不飽含著設計者的智慧結晶,都值得我們去思考和繼續研究。
注明,仕樂克儀表文章均為原創,轉載請標明本文地址